5.检查设备是否配置了undotelnetserver-sourceall-interface 如果配置了则使用telnetserver-sourceall-interface PS:在华为新版本的设备中需要手动开启telnetserver-so...
南京泽同信息 2025-11-18 网络设备调试 99 ℃ 0 评论 查看详细
在管理计算机上安装华为交换机的管理软件。在管理计算机上登录交换机的管理软件。在交换机的管理软件中进行如下配置:在"网络"菜单中配置交换机的IP地址和子网掩码。在"交换机配置"菜单中配置环路检测。在......
南京泽同信息 2025-11-18 网络设备调试 48 ℃ 0 评论 查看详细
Django是一个开源的、基于Python的高级Web框架,旨在以快速、简洁的方式构建高质量的Web应用程序。它由经验丰富的开发者设计,遵循“Don’tRepeatYourself”(不要重复自己)和“ConventionoverConfigurati...
南京泽同信息 2025-11-18 网络设备调试 62 ℃ 0 评论 查看详细
数据库/模拟数据→ExpressAPI→HTTP响应→UniApp数据绑定→页面渲染。:创建一个HTTP请求,发送到指定的后端接口(API),并接收返回的数据。:ExpressAPI处理完请求后,将数据包装成标准格式返回给客户端。:前端...
南京泽同信息 2025-11-18 网络设备调试 85 ℃ 0 评论 查看详细
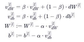
动量梯度下降法通过引入惯性机制(β≈0.9)优化传统梯度下降:①利用指数加权平均融合当前梯度与历史梯度,有效缓解震荡问题;②在代码实现时需维护速度变量v,先更新速度再调整参数;③相比标准GD具有更快收敛、路径更稳、抗噪声更强等优势,适用于大多数深度学习任务。典...
南京泽同信息 2025-11-18 网络设备调试 55 ℃ 0 评论 查看详细
打开sqlite3的mdb,使用.schema找所有表和表结构,然后每一张表都创建一个excel文件,以表名命名文件。...
南京泽同信息 2025-11-18 网络设备调试 54 ℃ 0 评论 查看详细
本文提出了一种基于深度卷积神经网络的动物图像分类方法。项目采用迁移学习技术,通过TensorFlow框架实现高精度动物识别系统,可分类10种动物。研究克服了动物外观多样性、图像质量差异等挑战,特别关注技术伦理问题。实验使用包含24,000余张图像的数据集,采用...
南京泽同信息 2025-11-18 网络设备调试 49 ℃ 0 评论 查看详细
摘要:车辆合格证识别技术通过OCR与深度学习融合,实现了汽车产业关键数据的智能化提取。该技术包含图像预处理、区域定位、字符识别、结构化解析和智能校验五个步骤,具备99.5%以上的高精度识别能力,秒级处理速度,并能适应复杂拍摄环境。作为汽车全产业链数字化转型的关...
南京泽同信息 2025-11-18 网络设备调试 166 ℃ 0 评论 查看详细
在“程序”弹框中:点击“启用或关闭Windows功能”,进一步打开Windows功能弹框。安装完成后,首次启动会要求设置用户名和密码,完成初始化(必须执行,否则后续步骤可能出错)。执行安装命令后,默认是安装在C盘暂未其他参数,可直接安装在别的盘符。...
南京泽同信息 2025-11-18 网络设备调试 72 ℃ 0 评论 查看详细
本地,可以用ollama或者LMStudio搭建本地的环境,下载大模型,然后可以去提问题,大模型回答;根据上边的流程,还差一个搭建AI知识库管理工具,这个可以用AnythingLLM或者CherryStudio,应该是都可以的;我倾向于选择LMStudi...
南京泽同信息 2025-11-18 网络设备调试 36 ℃ 0 评论 查看详细